Suite du billet : « Pourquoi réfuter le voyage dans le temps ? »
Rappelons tout d’abord le principe : le temps de celui qui voyage est « ralenti » (ou « dilaté ») d’un certain coefficient nommé « facteur de Lorentz ». La valeur de ce coefficient peut être aussi grande qu’on veut, car elle ne dépend que du rapport entre la vitesse v du voyageur et la vitesse c de la lumière. Plus v est proche de c, plus sa valeur est grande, et elle devient infinie si v = c. Donc, si vous voyagez assez vite pour avoir un facteur de Lorentz égal par exemple à 1000, votre temps est 1000 fois plus lent que celui des gens restés dans leur fauteuil, et quand il s’écoule 1000 ans pour eux il ne s’en écoule qu’un seul pour vous.
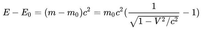
En prenant pour exemple cette valeur de 1000, on va démontrer que c’est théoriquement irréalisable. Les calculs relativistes donnent l’énergie à fournir pour atteindre la vitesse voulue :

L’énergie à fournir, (E – E0), est l’énergie totale (E) à la vitesse voulue (V) de laquelle on retranche l’énergie initiale au repos (E0). Entre les parenthèses de droite, on reconnaît le facteur de Lorentz, 1/√(1 – V2/c2), de sorte que l’énergie à fournir dans notre exemple numérique est :
E – E0 = m0 c2 (1000 – 1) = 999 m0 c2
L’énergie du vaisseau au repos, (juste avant son décollage), étant m0 c2, c’est donc 999 fois cette énergie qu’il devra fournir pour seulement atteindre sa vitesse de croisière. Où va-t-il la prendre ?
-
Se faire pousser depuis la Terre n’est pas une solution à cause des vitesses, des distances et du retour.
-
Pomper l’énergie du vide n’est pas une solution non plus, car la faisabilité théorique n’est pas démontrée.
-
Il ne reste qu’une solution : l’embarquer avec lui sous forme d’un carburant quelconque.
Il devra donc convertir sa masse initiale en énergie cinétique, ce que l’on peut calculer, dans le cas le plus favorable, en se basant sur l’équivalence de la masse et de l’énergie. Si la masse du carburant représente 99% de celle du vaisseau au décollage, (m0), l’énergie produite atteindra au grand maximum 0,99 fois m0 c2, c’est-à-dire environ 1 fois m0 c2. Mais il en faut 999. Il manquera toujours au moins 998 fois m0 c2, c’est-à-dire 998 fois l’équivalent énergétique de sa propre masse au décollage. Cela montre qu’il est théoriquement impossible pour une fusée de s’approcher autant qu’elle veut de la vitesse de la lumière : ce n’est pas seulement une question de technologie comme l’affirme Aurélien Barrau, (voir en annexe).
De manière générale, c’est impossible dès que le facteur de Lorentz atteint 2 : à partir de ce seuil, qui correspond à une vitesse de seulement 86,6% de c, le vaisseau ne peut plus accélérer de lui-même. Et l’on ne voit pas comment il pourrait s’y prendre, car il se serait volatilisé, voyageur compris, à convertir 100% de sa masse initiale en énergie cinétique. Il doit donc avoir un facteur de Lorentz très inférieur à 2 car :
- La conversion de la masse en énergie cinétique ne peut pas se faire avec un rendement de 100%.
- Il doit rester fonctionnel et conserver sa charge utile, notamment son passager.
- A poussée constante, l’accélération décroît à mesure que la vitesse augmente, sinon il pourrait dépasser la vitesse de la lumière.1
- Il doit réserver de l’énergie pour se diriger, faire le demi-tour, et freiner à l’arrivée.
Or, avec un facteur de Lorentz très inférieur à 2, on ne peut plus parler de « voyage dans le temps » à la demande, comme dans le roman de H. G. Wells. Au mieux le voyage permet de vieillir un peu moins, pas de changer d’époque. CQFD.
Paris, le 24 septembre 2020
1 Cf. Wikipédia : « Le mouvement uniformément accéléré ». Non seulement il est impossible d’atteindre la vitesse de la lumière, mais l’on ne peut pas même pas s’en approcher. C’est possible dans les accélérateurs de particules, mais ce sont des accélérateurs et des particules, pas des vaisseaux spatiaux.
On peut lire aussi ma critique toute en ironie de la théorie de l’univers bloc : Le futur existe-t-il ?
ANNEXE
Notre réfutation contraste avec l’assurance d’Aurélien Barrau dans cette vidéo, minute 13’42 :
« La deuxième [grande leçon de la relativité], c’est que l’espace-temps est plus compliqué que ce que Newton et Galilée pensaient, voilà. C’est-à-dire que là si nos montres sont parfaitement synchronisées, du simple fait que j’ai la fâcheuse tendance de me balader quand je parle, maintenant nos montres ne sont plus synchronisées. Je n’ai plus le même âge que vous. C’est une vérité mesurable, absolument indiscutable, et ce que ça signifie en clair, c’est que les voyages dans le futur sont sans aucun doute possibles. On sait très bien ce qu’il faut faire, d’ailleurs on le fait, et l’on pourrait tous être encore vivants, si on le souhaitait, en l’an 10.000 sur la Terre. Il suffirait pour ça d’avoir une technologie un tout petit peu plus développée que celle qu’on a, parce que accélérer un corps humain à des vitesses proches de la lumière c’est pas simple, mais en tout cas, conceptuellement, c’est absolument indubitable, et avec des particules élémentaires on le fait. Au CERN on prend des particules qui vivent un milliardième de milliardième de seconde, et on les fait vivre une seconde. C’est exactement comme si on prenait un homme qui vit cent ans et qu’on le faisait vivre cent milliards d’années. Donc ça ce sont des choses qui sont complètement intégrées dans le cœur dur de la physique depuis plus d’un siècle, mais dont les conséquences épistémiques ou poétiques n’ont pas encore je pense pénétrer les non-spécialistes, je crois qu’il serait urgent de s’en enivrer, parce qu’en fait ça dit quelque chose de très profond sur cet au-delà de la vision kantienne du temps qui serait une sorte d’absolu transcendantal, c’est-à-dire a priori de la sensibilité humaine. [15′] La relativité restreinte nous montre aussi que l’on peut, en quelque sorte, transformer du mouvement en existence, c’est ça que nous dit E = mc2. Et ça finalement c’est encore une propriété de la nature fondamentale de l’espace et du temps. »
Mais quel est donc ce langage qui multiplie les certitudes ? « Absolument indiscutable », « sans aucun doute possible », « absolument indubitable », « cœur dur de la physique » ! Il venait pourtant de déclarer, à la minute 12’30 :
« En physique, non seulement il est possible mais il est nécessaire de douter de tout. L’essentiel de nos théories est sujet à caution, elles seront un jour remplacées par de meilleures théories. C’est normal, la science c’est le rapport finalement à la déconstruction et au fragile. »
Permalien : https://onfoncedanslemur.wordpress.com/2020/09/24/2-2-refutation-du-voyage-dans-le-temps/
Laisser un commentaire